2/2
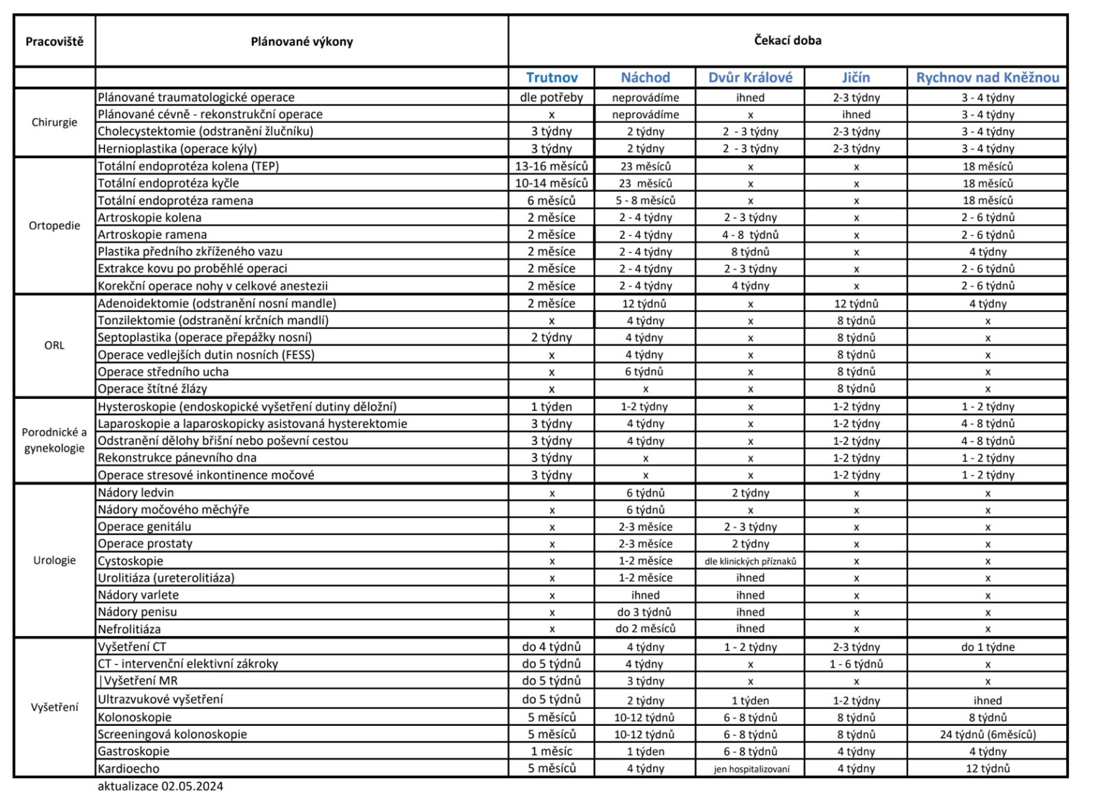
Jak dlouho se čeká v našem kraji na operaci? Nejkratší lhůty má Dvůr Králové
Jak dlouho se čeká v našem kraji na operaci? Nejkratší lhůty má Dvůr Královénemocnice rozpis operativy.jpg